|
ДОКЛДАЫ. II-АЯ МЕЖДУНАРОДНАЯ КОНФЕРЕНЦИЯ
С.-ПЕТЕРБУРГ 2002 г.
ПРИМЕНЕНИЕ ГЕОМАТЕРИАЛОВ ПРИ СТРОИТЕЛЬСТВЕ И РЕКОНСТРУКЦИИ ТРАНСПОРТНЫХ ОБЪЕКТОВ
МПС РФ
ПЕТЕРБУРГСКИЙ ГОСУДАРСТВЕННЫЙ УНИВЕРСИТЕТПУТЕЙ СООБЩЕНИЯ "ЛИИЖТ"
ОКТЯБРЬСКАЯ ЖЕЛЕЗНАЯ ДОРОГАЛЕНГИПРОТРАНС
(Материалы II-ой международной научно-технической конференции)
Санкт-Петербург, 2002
1. Использование геоячеек "ПРУДОН-494" при строительстве и реконструкции транспортных объектов
2. Опыт применения геотекстильных полотен ГЕОКОМ производства ОАО "Комитекс" при строительстве дорог
3. Влияния эксплуатационных и технологических воздействий на состояние геоячеек, уложенных в путь
4. Расчет насыпи по теории предельного равновесия и теории зернистых сред
Ким А.И.
Открытое акционерное общество 494 УНР
ИСПОЛЬЗОВАНИЕ ГЕОЯЧЕЕК "ПРУДОН-494" ПРИ
СТРОИТЕЛЬСТВЕ И РЕКОНСТРУКЦИИ ТРАНСПОРТНЫХ ОБЪЕКТОВ
Параметры и технические характеристики "ПРУДОН-494" многим уже известны. Поэтому сегодня хочется рассказать о конкретном опыте применения "ПРУДОН-494" при
строительстве и реконструкции автомобильных и железных дорог как федерального, так и местного значения.
Применение геоячеек "ПРУДОН-494" начато УНР-494 со строительства 2-х опытных участков испытательной автомобильной трассы 21 НИИИ (AT) МО. На первом
участке в качестве засыпки геоячеек был выбран доломитовый щебень фракции 10-20 мм общей толщиной 25 см, причём под геоячейки не устраивалась прослойка из геотекстиля. Во втором варианте в качестве засыпки геоячеек использовался мелкий песок с модулем крупности 1,2-1,8 мм толщиной 30 см. После окончания строительства были выполнены испытания участков тягачами
МЗКТ с нагрузкой на ось 16 т, с проходом на максимальной скорости и резким торможением. По результатам штамповых испытаний были изданы "Временные строительные нормы "Применение синтетических материалов при устройстве нежестких дорожных одежд автомобильных дорог".
Проведённые исследования показали, что наиболее эффективное применение синтетических материалов и геоячеек на участках дорог, расположенных на слабых грунтах (переувлажнённых, заторфованных, сыпучих и т.д.). При этом улучшаются условия консолидации насыпи, и обеспечивается прочность и устойчивость слоев дорожной одежды из несвязных строительных материалов, а также
повышается эксплуатационная надёжность и сроки службы дорожных покрытий.
В настоящее время "ПРУДОН-494" - единственный материал, который в соответствии с проектными решениями использован для армирования оснований федеральных
автомобильных дорог, таких как Москва - Минск, Москва - Нижний Новгород, Урай - Советский.
На автомагистрали Москва - Минск геоячейки "ПРУДОН-494" были применены для укрепления подстилающего слоя основания из песка при уширении земляного полотна. На данном
участке использовались геоячейки с высотой ячеек 200 мм. Отдельные модули геоячеек укладывались на прослойку из нетканого синтетического материала, затем соприкасающиеся стенки соседних модулей скреплялись специальными степлерами. Кроме этого, для закрепления геоячеек по краям использовались арматурные штыри. Поверх песчаного слоя устраивалась дорожная
одежда, состоящая из щебеночного основания, устраиваемого по способу заклинки, верхнего слоя основания из крупнозернистой асфальтобетонной смеси и двухслойного асфальтобетонного покрытия.
Использование геоячеек в данном случае
продиктовано необходимостью укрепления уширяемой части насыпи, возводимой на переувлажненных грунтах. В случае применения традиционной технологии без дополнительного армирования чаще всего происходит образование продольной трещины в местах соединения существующей части насыпи и вновь построенной. Это связано с тем, что после открытия движения на участках
со слабым основанием происходит осадка уширяемой части земляного полотна, и как следствие, образование трещины на асфальтобетонном покрытии. Применение геоячеек как раз и позволяет решить эту проблему.
Таким образом, укреплено более 13 000 м2 основания автомагистрали Москва - Минск и более 4 000 м2 автомагистрали Москва - Нижний Новгород.
Чаще всего с проблемой укрепления слабых оснований сталкиваются в районах с неблагоприятными гидрогеологическими и климатическими условиями. При
строительстве как автомобильных, так и железных дорог в таких районах неизбежно приходится пересекать заболоченные участки с преобладанием водонасыщенных торфяных грунтов и сапропелей.
При строительстве дорог, проходящих по болотам с небольшой глубиной
залегания слабых грунтов, наиболее устойчивое земляное полотно возводится с использованием метода полного выторфовывания. Однако, при прохождении глубоких болот, где толщина залегания слабых грунтов велика, этот метод приводит к исключительно большим объемам земляных работ (до 80 тыс. мЗ на 1 км) и, следовательно, значительно повышает стоимость и
трудоемкость строительства. В случае возведения насыпи с частичным выторфовыванием или без выторфовывания в период эксплуатации дороги на покрытиии возникает большое количество дефектов:
- неравномерная осадка насыпи приводит к нарушению двускатного поперечного профиля;
- на низших и переходных типах покрытия происходит образование колей;
- на покрытиях из сборных железобетонных плит происходит смещение плит относительно друг друга и даже раскалывание плит, когда требуется их замена; - размывание откосов насыпи и т.п.
Практически каждый год такие дороги требуют обязательного ремонта, заключающегося в досыпке земляного полотна, выравнивании покрытия, замене железобетонных плит, для чего необходимы постоянные денежные вложения. Армогрунтовые конструкции позволяют решить многие из вышеперечисленных проблем. Применение геоячеек "ПРУДОН-494" значительно повышает
надежность дорожных конструкций, снижает объем использования естественных зернистых материалов, дает возможность разрабатывать новые проектные решения, компенсирует недостатки грунтов и используемых дорожно-строительных материалов, повысив их механические свойства, а в некоторых случаях - превратив их в совершенно новые типы материалов. Автомобильные и
железные дороги, построенные на основании, укрепленном "ПРУДОН-494", практически не требуют ремонта в течение, как минимум, пяти лет.
В настоящее время у нас есть достаточно весомые примеры использования геоячеек "ПРУДОН-494" при строительстве автодорог в сложных климатических и гидрогеологических условиях. Это дороги, построенные в строительных сезонах 2000 и 2001 годов в Ямало-Ненецком и Ханты-Мансийском автономных округах. В данном случае геоячейки "ПРУДОН-494" была использована для укрепления верхней части земляного полотна, возводимого на слабых торфяных грунтах из гидронамывного песка.
Вариантов конструкции дорожной одежды было несколько:
- в одном случае модули геоячеек с высотой ячеек 200 мм укладывались на подготовленное земляное полотно поверх геотекстиля и заполнялись песчано-гравийной смесью;
- в другом, заполнение производилось щебнем, в третьем,
металлургическим шлаком, т.е. тем материалом, который в данной местности имеется в большом количестве;
- в Ханты-Мансийском АО геоячейки "ПРУДОН-494" с высотой ячеек 100 мм были использованы для укрепления основания дорожной одежды, поверх которого укладывались дорожные плиты. Вы знаете, что обычно
происходит со сборными бетонными покрытиями после нескольких лет эксплуатации. В этом же случае как раз и решалась проблема неравномерной осадки отдельных плит относительно друг друга;
- кроме укрепления щебеночного основания в конструкции использовались геоячейки "ПРУДОН-494" с высотой ячеек 100 мм для
укрепления откосов насыпи. Таким образом, дорога получила своеобразную кольчугу из геоячеек, защищающую ее от воздействия водной и ветровой эрозии, а также позволяющая сохранить целостность конструкции без видимых повреждений после полной осадки насыпи.
В текущем 2001 году одним из наиболее крупных проектов в дорожной отрасли является строительство Кольцевой автомобильной дороги в г.Санкт-Петербурге. По гидрогеологическим и климатическим условиям район строительства является очень сложным. Встречаются участки с затрудненным водоотводом, участки с преобладанием пучинистых грунтов, пластичных супесей и супесей
текучей консистенции. Во время строительства возникли проблемы с пропуском построечной техники по земляному полотну, обладающему низкой пропускной способностью. Отсыпка щебня толщиной 20 см не дала положительного результата.
Было рассмотрено два варианта усиления дорожной одежды:
1. Укладка щебня на разделительную прослойку из нетканого иглопробивного геотекстиля фирмы ООО "Кевас".
2. Укладка разделительной прослойки из термоскрепленного нетканого геотекстиля Polifelt TS30, кроме этого, армирование нижнего слоя
щебня геоячейками "ПРУДОН-494" с высотой ячеек 20 см.
Оценка несущей способности предложенных вариантов и натурные испытания проводились лабораторией дорожных одежд Союздорнии на участке КАД г.Санкт-Петербурга на ПК 786-790. Результаты испытаний наглядно
показали эффективность армирования основания геоячейками "ПРУДОН-494". Так на неармированном участке с увеличением количества проходов тяжелой колесной техники происходило постоянное увеличение глубины колеи (от 60 до 200 мм). Кроме этого при количестве проходов 23 по одному следу наблюдалось выпирание грунта между колеями и обнажение
геотекстиля.
На участке, армированном геоячейками "ПРУДОН-494", только в начале движения (количество проходов до 20) происходит увеличение глубины колеи до величины значительно меньшей, чем в первом варианте (глубина колеи при 40 проходах на 40-80% меньше).
Затем наступает стабилизация, что свидетельствует о включении в работу геоячеек.
Выполненные расчеты и испытания показали, что вариант конструкции с геоячейками имеет более высокую несущую способность, что позволяет оптимизировать конструкцию и снизить
толщину щебеночного слоя. В сложных инженерно-геологических условиях вариант усиления щебеночного основания геоячейками "ПРУДОН-494" является более предпочтительным по сравнению с традиционным.
В 2000 году геоячейки "ПРУДОН-494" были
использованы для усиления подбалластного слоя на экспериментальном участке магистральной железнодорожной линии Санкт-Петербург - Выборг (102 км). После укладки геоячеек Петербургским Университетом Путей Сообщений были проведены исследования влияния геоячеек на напряженно-деформированное состояние и колебательный процесс грунтов земляного полотна.
Исследование
характера напряжений осуществлялось по осциллограммам, записанным при проходе поездов с различной скоростью. Анализ полученных данных говорит о том, что усиление основной площадки укладкой в путь геоячеек "ПРУДОН-494" позволило снизить вертикальные напряжения в подрельсовом сечении в 1,5 - 1,8 раза. Кроме этого, сточки зрения повышения устойчивости и
стабильности земляного полотна наилучшим способом загрузки основной площадки является равномерное распределение напряжений. Геоячейки "ПРУДОН-494" обладают наилучшей перераспределяющей способностью, позволяющей снизить напряжения в подрельсовом сечении. К тому же, помимо распределения напряжений, усиление подбалластного слоя снижает напряжения по
абсолютной величине в подрельсовос сечении и в сечении у торца шпалы. Это позволяет передать более равномерно на нижележащие грунты земляного полотна существенно меньшую часть вибродинамического воздействия. Кроме этого, укладка в путь геоячеек "ПРУДОН-494" позволяет снизить интенсивность роста вертикальных напряжений с увеличением скорости
движения на 40%.
По результатам проведенных исследований в этом году были выпущены "Стандартные проектные решения и технология усиления подбалластного слоя геоячейками "ПРУДОН-494". Они предназначены для использования работниками
проектных институтов, службы пути, путевых машинных станций и дистанций пути при проектировании и осуществлении работ по усилению основной площадки земляного полотна.
В настоящее время очень много говорится о том, что необходимо обновление нормативов на
проектирование и строительство автомобильных дорог. Появляется все больше принципиально новых материалов, механизмов, конструкций, о которых в середине 80-х годов вообще не упоминалось. Эффективность внедрения новых прогрессивных технологий во многом зависит от развития нормативной базы, которая сейчас, к сожалению, значительно отстает от практики. Применение
таких материалов, как геоячейки "ПРУДОН-494", дает возможность создавать дорожные конструкции с более высокими прочностными характеристиками. Особенно это касается районов со сложными условиями строительства, неблагоприятными климатическими и инженерно-геологическими условиями. При этом происходит снижение материалоемкости за
счет уменьшения толщины слоев дорожной одежды и высоты земляного полотна, что тоже немаловажно для таких районов, так как стоимость доставки дорожно-строительных материалов очень высока.
За последние два года нашей организацией совместно с такими институтами
как ЦНИИС, Петербургским государственным университетом путей сообщения, Союздорнии выпущена методическая литература с рекомендациями применения геоячеек "ПРУДОН-494" в различных дорожных конструкциях.
Хочется еще раз обратить внимание на
перспективность использования в дорожном строительстве геосинтетиков и геопластиков, в частности, геоячеек "ПРУДОН-494". Они хорошо работают как при низких (до -60°С), так и при высоких (до +55°С) температурах, в зонах постоянного увлажнения, выдерживают воздействие любых агрессивных сред. Диапазон применения геоячеек может
быть еще значительно расширен.
Использование новых материалов, новых технологий позволят нам создать надежную, работоспособную сеть автомобильных и железных дорог, а также комплекс связанных с дорогами сложных инженерных сооружений.
Афонина О.В.
ОАО "Комитекс"
ОПЫТ ПРИМЕНЕНИЯ ГЕОТЕКСТИЛЬНЫХ ПОЛОТЕН ГЕОКОМ
ПРОИЗВОДСТВА ОАО "КОМИТЕКС" ПРИ СТРОИТЕЛЬСТВЕ ДОРОГ
ОАО"КОМИТЕКС" является производителем нетканых геотекстильных полотен ГЕОКОМ. Ассортимент геотекстильных полотен ГЕОКОМ включает иглопробивные полотна, иглопробивные-термоскрепленные полотна и иглопробивные термоскрепленные в массе полотна.
Нашими
многолетними партнерами и потребителями геотекстильных материалов ГЕОКОМ являются предприятия РАО "Газпром", предприятия нефтедобычи, дорожного строительства Северного, Северо-западного региона, Урала, Центра, Юга России, Сибирского и других регионов.
Компания
"КОМИТЕКС" расположена в Республике Коми, на северо-востоке европейской части Российской Федерации. Поэтому очень широкое применение геотекстильные полотна ГЕОКОМ нашли именно в условиях крайнего севера.
Данный доклад посвящен опыту применения
геотекстильных полотен ГЕОКОМ одним из потребителей "КОМИТЕКС" - крупной нефтедобывающей компанией. Эта компания занимается освоением месторождений на севере Республики Коми и в Ненецком автономном округе.
До применения геотекстильных материалов
компанией каждой весной дороги к месторождениям размывало, поэтому нормально функционировать можно было только в зимний период. Летом же приходилось до буровых добираться на вертолетах, что было достаточно дорогим.
В 1996 году нефтедобывающая компания впервые
закупила импортный геотекстильный материал - иглопробивное полотно из штапельных полипропиленовых волокон. Полотно использовалось для обустройства площадки и при строительстве дороги на особо слабых заболоченных участках. Схемы укладки импортного геотекстильного материала приведены на рисунке 1.
 |
 |
Рис. 1. Схемы укладки импортного геотекстильного материала. |
Целью использования геотекстильных материалов являлось предотвращение проседания дорожного полотна в болото и отвод воды от дорожной одежды для того, чтобы дороги функционировали круглогодично.
В результате было снижено проседание дороги в болото, проседание стало равномерным и значительно увеличился срок эксплуатации дороги.
Через некоторое время нефтедобывающая компания обратились к геотекстильному материалу ГЕОКОМ производства "КОМИТЕКС", который использует в строительстве и по сегодняшний день.
Некоторые схемы использования геотекстильного полотна ГЕОКОМ нефтедобывающей компанией описаны ниже.
1. Обустройство площадок под буровые вышки
Для данной цели применяется геотекстильное полотно ГЕОКОМ Д-500 (иглопробивное, поверхностной плотностью 500 г/кв.м).
Размер площадки 101x151 м, площадь укладки 19 000 кв.м. Геотекстильное полотно укладывается в 2 слоя поперек площадки (49 полос полотна). Общая потребность геотекстильного материала на 1 площадку составляет 38 000 кв.м.
Схема отсыпки площадки под буровую изображены на рисунке 2.
 |
Площадь - 1900м2 Общая площадь двух слоев геотекстильного полотна Геоком Д-500 - 36000м2 |
 |
Отсыпка песчано-гравийной смесью в три слоя с укладкой двух слоев геотекстильного полотна Геоком Д-500 |
Рис. 2. Схема отсыпки площадки под буровую.
Целью использования геотекстильного полотна ГЕОКОМ является обеспечение высокой несущей способности и длительного срока службы площадки.
Полотно укладывается внахлест 20 см и скрепляется алюминиевыми скобками из проволоки диаметром 4 мм (100x50x50 мм) (рисунок 3). Геотекстильный материал раскатывается вручную.

Рис. 3. Скрепление полотнищ геотекстильного материала ГЕОКОМ
2. Строительство дорог
В марте 2000 года был построен первый участок дороги с использованием геотекстильного полотна ГЕОКОМ ДТ-360 (иглопробивного-термоскрепленного поверхностной плотностью 360 г/кв.м) производства "КОМИТЕКС".
Схема укладки геотекстильного полотна ГЕОКОМ показана на рисунке 4. До настоящего времени дорога ведет себя хорошо, проседание полотна
равномерное.
 |
Отсыпка песчано-гравийной смесью в три слоя с укладкой двух слоев Геоком (Геоком ДТ-360, первый 3,6 м, второй - 4м). |
| Рис. 4 Схема укладки геотекстительного полотна ГЕОКОМ в два слоя при строительстве дорог |
Также при строительстве дорог нефтедобывающая компания использует геотекстильное полотно ГЕОКОМ ДТ-360 совместно с геоячейками ПРУДОН-494. Схема укладки показана на рисунке 5.
 |
Отсыпка песчано-гравийной смесью в три слоя с укладкой двух слоев Геоком (Геоком ДТ-360, первый 3,6 м, второй - 4м) и одного слоя геоячеек на нижний слой |
| Рис. 5 Схема укладки геотекстительного полотна совместно с геоячейками ПРУДОН-494 |
В целом, использование геотекстильных материалов нефтедобывающей компании на протяжении последних нескольких лет дало положительные результаты, и построенные объекты ведут себя хорошо.
Ганчиц В.В.
Петербургский государственный
университет путей сообщения
ВЛИЯНИЯ ЭКСПЛУАТАЦИОННЫХ И ТЕХНОЛОГИЧЕСКИХ ВОЗДЕЙСТВИЙ НА СОСТОЯНИЕ ГЕОЯЧЕЕК, УЛОЖЕННЫХ В ПУТЬ
Изучение эффективности применения различных геосинтетических материалов для армирования подбалластного слоя невозможно без точной оценки влияния различных производственных факторов на длительное сохранение эксплуатационных свойств. При использовании геоячеек для армирования подбалластного слоя основными
факторами, влияющими на снижение прочности геоматриалов являются:
- местные повреждения, возникающие при укладке геоячеек в щебеночный балласт, вытекающие из особенностей технологии производства работ - воздействие вибродинамической нагрузки от проходящих поездов. Напряжения от проходящего поезда на глубине 40 см под подошвой шпалы т.е. в зоне укладки геоячеек достигают в подрельсовом сечении до 1-0,9 кг/см2; - колебания температурно-влажностного режима т.к. геоячейкиа находятся в зоне периодического промерзания оттаивания.
В 1999 г. на Октябрьской ж.д. на линии С.Петербург -Выборг проводились исследования по армированию подбалластного слоя различными геосинтетическими материалами. На опытном участке были уложены материалы:
- геосетки: FORTRAC 80/80-50 из полиэстера, с заявленной прочностью на разрыв 80 кН/м (производитель HUESKER Sintetik Gmbh), - полипропиленовые георешетки ТЕМАХ LBO 440 SAMP с заявляемой прочностью на разрыв 40 кН/м (производитель ТЕМАХ), TENSAR SS 30 с прочностью на разрыв 30 кН/м (производитель Netlon Limited). - геоячейки ПРУДОН (производитель УНР-494)
Укладка проводилась совместно с глубокой очисткой щебеночного балласта машиной РМ-80, выполнявшейся в комплексе работ по капитальному ремонту пути.
С целью определения повреждаемости в процессе укладки в подбалластный слой образцы материалов отбирались непосредственно после окончания работ по выправке и отделке пути, выполнявшихся тяжелыми путевыми машинами. После по опытному участку было пропущено 25 млн.т.брутто, была отобрана следующая партия образцов.
Оба раза отбор образцов производился по следующей методике:
- поперечник для отбора образцов каждого материала выбирался произвольно; - в шпальном ящике отрывался шурф до геосинтетического материала; - образцы отбирались из под подошвы шпалы в подрельсовом сечении и из под конца шпалы; - размер пробы принимался таким, что бы из нее можно было изготовить не менее 9 образцов, состоящих из пяти целых конструктивных элементов для геоячеек, и трех образцов в виде полос для геоячеек;
В связи с тем, что в настоящее время не существует стандартной методики испытания геоячеек закрепленной в ГОСТ, исследования проводились по программе разработанной на основе зарубежных стандартов (ISO 10319, ISO 29073 часть 3, ISO 10321, BS 2846:2) и опыта отечественных исследований проводившихся в ЦНИИСе со стеклосетками типа СПАП-Кама.
Испытания геоячеек ПРУДОН проводились в соответсвии с ТУ. Определение разрывной нагрузки и удлинения ленты проводились по ГОСТ 15902.3.
Для испытаний использовались разрывные машины типа Р-0.5/Р-5 с постоянной скоростью деформации и маятниковым
силоизмерителем. Они имеют электромеханический привод позволяющий плавно регулировать скорость нагружения. Машины были оборудованы высокоточным измерителем деформаций с предельным значением шкалы в 200 мм. Испытания проводились при температуре 18-20 градусов С.
Фиксировались как максимальное разрывное усилие, так и относительное удлинение. Нагружение образцов производилось с фиксированной скоростью, рекомендованной или стандартом или фирмой производителем. Для испытания геоячеек были специально изготовлены захваты исключающие разрыв образца в непосредственной к ним близости. Для предотвращения проскальзывания
и разрушения в захватах георешеток Fortrac образцы заливались эпоксидной смолой. Результаты испытаний образцов разорвавшихся в зоне захватов в учет не принимались.
В связи с тем, что определяющую роль при армировании балласта играет наличие жесткого соединения в узле, были проведены испытания прочности этого соединения у георешеток ТЕМАХ LBO 440 SAMP и TENSAR SS 30.
Максимальное разрывное усилие для отдельного узла определялось на разрывной машине Р-05. Машина была оборудована захватами, обеспечивающими совпадение продольной оси
образца с направлением растяжения и не вызывающими разрушение образца. Испытания проводились по следующей методике:
- образец зажимался таким образом, что бы между между захватами находился один узел; - на образец симметрично наносились метки ограничивающие рабочую зону; - образец предварительно нагружался усилием в пределах 5%; -образец плавно нагружался со скоростью 15 мм/мин до момента разрыва, при этом брались промежуточные отсчеты усилия при 2%,5% и 10% деформации; - в расчет принимались результаты, полученные на образцах, разрушившихся в пределах рабочей зоны.
Максимальное разрывное усилие на погонный метр для георешеток типа Fortrac , ТЕМАХ LBO 440 SAMP, и TENSAR SS 30 определялось на более мощной разрывной машине оборудованной специальными захватами. Скорость нагружения составляла от 25 до 50 мм в минуту. За момент разрушения принимался обрыв хотя бы одного из вертикальных элементов или узла.
Поскольку геоячейки ПРУДОН представляет собой объемную ячеистую конструкцию из полиэтиленовых лент соединенных между собой линейными швами, для определения разрывной нагрузки и относительного удлинения из лент вырезались полоски размером 50 * 100 мм. Определение разрывной нагрузки и удлинения ленты проводились по ГОСТ 15902.3.
Определение коэффициента повреждаемоести проводилось на основании сравнения результатов испытаний образцов изготовленных из материалов отобранных из пути, с контрольной группой. Образцы для контрольной группы отбирались из материалов в оригинальной заводской упаковке хранящихся в соответствии с рекомендациями фирмы производителя. В качестве расчетного значения
принималось среднее арифметическое от результатов испытаний 9 образцов. Испытания опытных и контрольных образцов проводились по одинаковой методике.
Сравнение полученных результатов с результатами испытаний контрольных образцов показало снижение предела
прочности:
- из-за повреждаемости материала в процессе укладки в среднем на 2-3%; - из-за повреждаемоести материала в процессе эксплуатации в среднем на 5-6%.
Наименьшее снижение прочности после эксплуатации - 6% дали образцы Tensar и Тепах.
Наибольшее снижение прочности показали образцы Fortrac - 9%.
Устян Н.А.
Военно-транспортный университет ЖДВ РФ
РАСЧЕТ НАСЫПИ ПО ТЕОРИИ ПРЕДЕЛЬНОГО РАВНОВЕСИЯ И ТЕОРИИ ЗЕРНИСТЫХ СРЕД
Опыт войн показал, что наиболее сложными и трудоемкими объектами при восстановлении на железных дорогах являются мостовые переходы. Трудозатраты на земляные работы при их восстановлении составляют до 45%. Решающим фактором стал срок восстановления и быстрое открытие движения по участку. Особенно важное значение
имеет принятие решений по лимитирующим объемам работ, к которым относится земляное полотно. Необходима методика расчета, которая наиболее полнее учитывала бы все особенности работы свежеотсыпанной насыпи и дальнейшие структурные изменения при эксплуатации, то есть позволила бы оценить состояние насыпи в любой момент времени. Это обстоятельство даст
возможность определить наиболее рациональные геометрические размеры насыпи, объемы работ на конкретном участке, необходимые трудозатраты, сроки производства работ, стоимость строительства, время подъемки пути, эксплуатационные расходы.
Расчеты по определению несущей способности насыпи в прямой постановке в настоящее время в современных руководящих документах отсутствуют, а взамен производится расчет устойчивости откосов насыпи по методу круглоцилиндрических поверхностей скольжения. Этот метод расчета применяется для капитального
строительства и определяет устойчивость откосов насыпи, а не несущую способность. К тому же он является приближенным и дает значительные отклонения, что приводит к неоправданному увеличению размеров насыпи, и как следствие - к увеличению объемов земляных работ.
Для проектирования временных железных дорог используется та же методика, хотя земляное полотно временных железных дорог имеет ряд эксплуатационных и технологических особенностей и работает в исключительно неблагоприятных условиях. Оно не устоявшееся, имеет минимальные геометрические размеры, малую толщину
балластного слоя, низкое качество уплотнения, возводится практически из всех видов грунтов и сразу после открытия интенсивно эксплуатируется. Срок эксплуатации временных дорог строго ограничен, а нормы проектирования те же, что и для капитальных железных дорог. Нет специальной методики проектирования временных обходов, учитывающей особенности работы и
эксплуатации свежеотсыпанной насыпи.
На лицо явное противоречие между существующими нормами проектирования временных обходов и требованиями к срокам строительства. Устранение указанных противоречий, которые до настоящего времени не имеют окончательного решения, весьма актуально.
Для решения этой задачи предлагается теоретически обоснованный расчет прочности земляного полотна на основе предельного состояния грунтовой среды, а деформативность на основе механики зернистых сред в прямой постановке.
На сегодняшний день в механике грунтов, как науке, перспективным является решение указанных задач на основе теории зернистых сред, т.е. на основе систем с вероятностными структурами И.И. Кандаурова. Но в данной теории не обоснованы критические (предельные) нагрузки на основание, поэтому первая часть по определению
предельного состояния основной площадки земляного полотна решена на основе теории предельного равновесия.
Анализируя имеющиеся расчетные схемы и модели по расчету несущей способности грунтовых оснований, за основу принята расчетная модель и уравнение М.Е. Харра.
Для ровной площадки предельное равновесие наступает в случае, когда активные и пассивные силы равны FA=FП. В случае, когда основание имеет откосы, необходимо ввести некий коэффициент влияния откосов k0, который будет учитывать уменьшение несущей способности основания с двумя откосами (рис.1). Такой коэффициент выработан (2).
 Рис. 1. Расчетная схема для определения предельного состояния основания поверхностного фундамента, ограниченного двумя откосами.
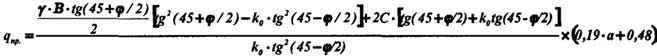
Он учитывает ширину полосы загружения, ширину обочины, угол заложения откосов и угол внутреннего трения грунтов. Тогда уравнение примет вид: FП=FAk0. После постановки значений получим:
 |
(кгс/см2), (1) |
| где |
|
 |
(2); |
g- плотность грунта; j- угол внутреннего трения грунта, С-коэффициент сцепления грунта; В - ширина полосы загружения; а - ширина обочины
Используя ранее проведенные исследования различных авторов с безразмерными коэффициентами Nс и Ng, уравнение по определению предельной несущей способности грунтовых оснований мелкого заложения и полученный коэффициент k0, выведена зависимость (3). В качестве расчетных были выбраны данные по Бринч-Хансену. После обработки этих значений был получен коэффициент соответствия теоретических и экспериментальных данных - kТэксп, а уравнение принял вид:
 |
,(ксг/см2) (3); |
После определения предельных нагрузок необходимо произвести расчет насыпи по осадкам. Был проведен анализ методик расчета деформаций насыпи. В настоящее время для расчета осадок насыпи используется метод послойного суммирования, который учитывает осадку насыпи от одноразовой статической нагрузки, что дает заниженные результаты и не учитывает периодичность
нагружения.
 Рис.2. Расчетная схема для определения осадок насыпи от
равномерно распределенной нагрузки по бесконечной полосе.
Решение этой задачи по теории зернистых сред дает возможность учитывать периодичность нагружений. Она решена для опор железнодорожных мостов А. В. Матвеевым и принята за основу для дальнейших исследований по определению осадок насыпи.
Для расчета осадок насыпи применялась расчетная схема (рис. 2) и теоретические зависимости по теории механики зернистых сред.
Это следующие зависимости:
1. По определению максимальных осадок однородного грунтового массива под центром гибкого фундамента от равномерно - распределенной нагрузки по бесконечной полосе от многократных статических нагружений (при Х=0);
 |
мм, (4) |
где lн = 0,92tg(90 -
j) - начальная распределительная способность грунта; lк = сtg(
j + 45о) - конечная распределительная способность грунта; lкп = сtg(j + 45о + 3о) - конечный коэффициент распределительной способности при повторно прилагаемых нагрузках; Еi - интегральная показательная функция; Е - модуль деформации грунта (кгс/см2); h - глубина активной зоны;hп = Btg(45о +
j / 2) (м); Ф - безразмерный коэффициент (из таблицы);
b - 1/2 ширины загружения.
2. По определению максимальных осадок под центром гибкого фундамента от равномерно- распределенной нагрузки по бесконечной полосе от числа прохода поездов;
 |
(мм) (5); |
где: N- число прохода поездов.
Для проверки и обоснования полученных зависимостей были запланированы и проведены модельные и натурные эксперименты.
Модельные испытания проводились в большом испытательном лотке лаборатории механики грунтов ВТУ ЖДВ РФ. Было проведено 10 серии экспериментов для определении несущей способности и деформативности насыпи. Испытывалась модель насыпи с коэффициентм моделирования 1:19, крутизной откосов 1:1.5 и 1:1.25.
Натурные испытания проводились на реальном объекте по титулу "Подъездной железнодорожный путь к порту АМО-ТОАЗ на Черном море" на Таманском полуострове. Испытывался участок свежеотсыпанной железнодорожной насыпи высотой 5,4 метра. В натурных условиях были измерены осадки насыпи от статических и динамических нагрузок с целью проверки принятых расчетных формул по определению осадок насыпи.
Для проверки адекватности принятых расчетных схем и полученных теоретических зависимостей по определению несущей способности насыпи было выполнено сравнение результатов расчетов по указанным зависимостям с результатами модельных и натурных экспериментов.
Сравнение результатов расчетов по теоретической зависимости (1) с результатами модельных экспериментов показало, что для расчета несущей способности модели насыпи с разной крутизной откосов необходимо выработать коэффициент, что и было сделано. По формуле (3) дополнительный коэффициент не требуется.
Сопоставление модельных и натурных экспериментальных исследований показало, что верхнее строение пути является гибким поверхностным фундаментом, поэтому расчеты необходимо производить как гибкого фундамента.
Было произведено сравнение реальных осадок свежеотсыпанной насыпи от поездной нагрузки с расчетными данными. Расчеты убедительно показали, что уравнения (4) и (5) отражают реальные осадочные процессы в теле насыпи и их можно применить при расчете осадок свежеотсыпанной насыпи без изменений. Расхождения с реальной осадкой с надежностью Р=0,95 входят в 5% доверительный интервал.
По результатам полученных теоретических и экспериментальных данных предлагается методика расчета насыпи.
 Рис.3. Расчет насыпи по предлагаемой методике
Представленные данные показывают, что предлагаемые технические решения и методика обладают эффективностью и могут быть приняты для решения задач как по восстановлению насыпи, так и при проектировании и эксплуатации ж.д. обходов.
Содержание...
|